말구직경자승법은 임목계측에서 나무의 재적을 간편하게 계산하기 위한 전통적인 방법이다. 말구직경자승법은 사용의 편리성으로 원목의 재적을 계산하는 과정에서 주로 이용되었다. 하지만 말구직경의 자승에 재장을 곱하기 때문에 원구와 말구 사이의 지름 차이가 작은 원목과 재장이 짧을 때에는 과대치를, 원구와 말구직경 사이의 지름 차이가 큰 원목과 재장이 길 때에는 과소치를 가져온다. 따라서 재장이 긴 원목은 정확한 재적계산이 어려우며 본래 재적보다 적게 계산되어 대량의 목재를 계산하는 경우, 경제적 손해를 보게 된다.
1. 말구직경자승법 계산방법
산림청 고시(2017-97호)에 따르면 원목 지름의 치수단위는 「㎜」를 원칙(다만 「㎝」로도 할 수 있음) 으로하고, 길이 치수단위는 「m」 로 한다. 또한 원목의 수량단위는 「본」으로 한다. 원목지름의 단위치수는 「10㎜」 또는 「1㎝」로 하고, 단위치수 미만 끝수는 끊어버린다. 원목 길이의 단위치수는 「0.1m」로 하고 단위치수 미만의 끝수는 끊어버린다.
원목의 말구지름은 수피를 제외한 최소 지름을 말한다. 다만, 최소지름이 300㎜를 넘는 원목은 최소지름과 최소지름에 대한 직격지름을 동시에 측정하여 그 차 30㎜마다 최소지름에 10㎜씩 가산시킨 지름을 말구지름으로 한다. 원목의 길이는 원구와 말구를 연결하는 최단 직선의 길이를 말한다. 다만, 0.1m 미만의 여척과 지름이 60㎜미만인 끝단부는 길이에서 제외한다.
이 방법은 국산재와 수입재에 대하여 적용하는 공식이 다른데, 국산재의 경우 재장의 길이가 6m를 넘으면 가중치를 부여하여 재적이 과소하게 추정되는 것을 막고 있다.
◆ 국산재의 재장이 6m미만일 경우

- V = 재적(㎥)
- D = 원목지름으로서 ㎜ 단위에 의한 수치
- L = 원목 길이로서 m단위에 의한 수치
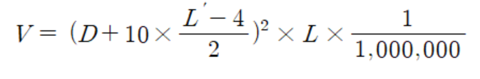
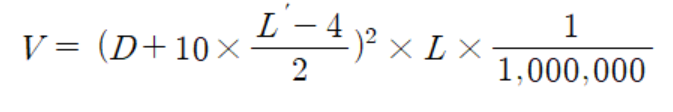
◆ 국산재의 재장이 6m이상일 경우

- V = 재적(㎥)
- D = 원목지름으로서 ㎜ 단위에 의한 수치
- L = 원목 길이로서 m단위에 의한 수치
- L’ = 원목 길이로서 m단위에 의한 수치 중 1m미만의 끝수를 끊어버린 길이
◆ 수입재일 경우
국산재 6m미만의 재장에 적용하는 공식에 π/4 (0.785)를 곱하여 구한다.
최근 산림청에서 발표된 「임목재적·바이오매스 및 임분수확표」에 따르면 재장 12자(3.6m)를 기준으로 미만은 기존의 말구직경자승법을 이용하였으며, 12자 이상의 원목은 Smalian식(양단면적식)을 이용하여 재적을 계산하였다. 한편 원목의 말구직경이 60㎝를 넘어가는 경우, 말구직경자승법을 이용하였다.
'산림기술사' 카테고리의 다른 글
| (134회 /1-8) 「임도설치 및 관리 등에 관한 규정」에 의한 감리원의 임무 (0) | 2025.01.09 |
|---|---|
| (134회 / 1-7) 테마임도 조성 기준 (0) | 2025.01.07 |
| (134회 / 1-5) 컴퍼스 측량의 특징 (3) | 2025.01.05 |
| (134회 / 1-4) 도시숲 기능 구분 및 각 기능별 정의 (0) | 2025.01.04 |
| (134회 / 1-3) 숲가꾸기 표준지의 크기와 조사방법 (0) | 2025.01.03 |